2026年,上海春考251分控制线已然公布,有7万余名考生,正面临志愿填报的关键抉择,这个分数线的划定,究竟意味着什么,今年的招生政策,又有哪些新变化,一起来看看详细解读。
成绩分布与志愿资格
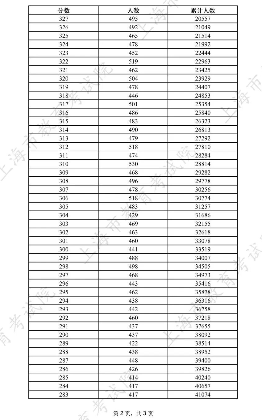
2026年,上海春考有超出7万数量的考生参与其中,同一时间段,又开展了统一高考里的外语科目考试和高中学业水平合格性考试。由市教育考试院确定的志愿填报所需要的最低成绩控制线是251分,唯有达到此项分数线的考生才拥有填报志愿的资格。
对应届高中毕业生而言,春考成绩要达标,除此之外,思想政治、历史、地理、物理、化学、生物学、信息技术这7门科目的高中学业水平合格性考试成绩也必须合格。这表明春考录取,既看重统一考试成绩,又关注学生平时的学业表现。
招生院校与专业计划
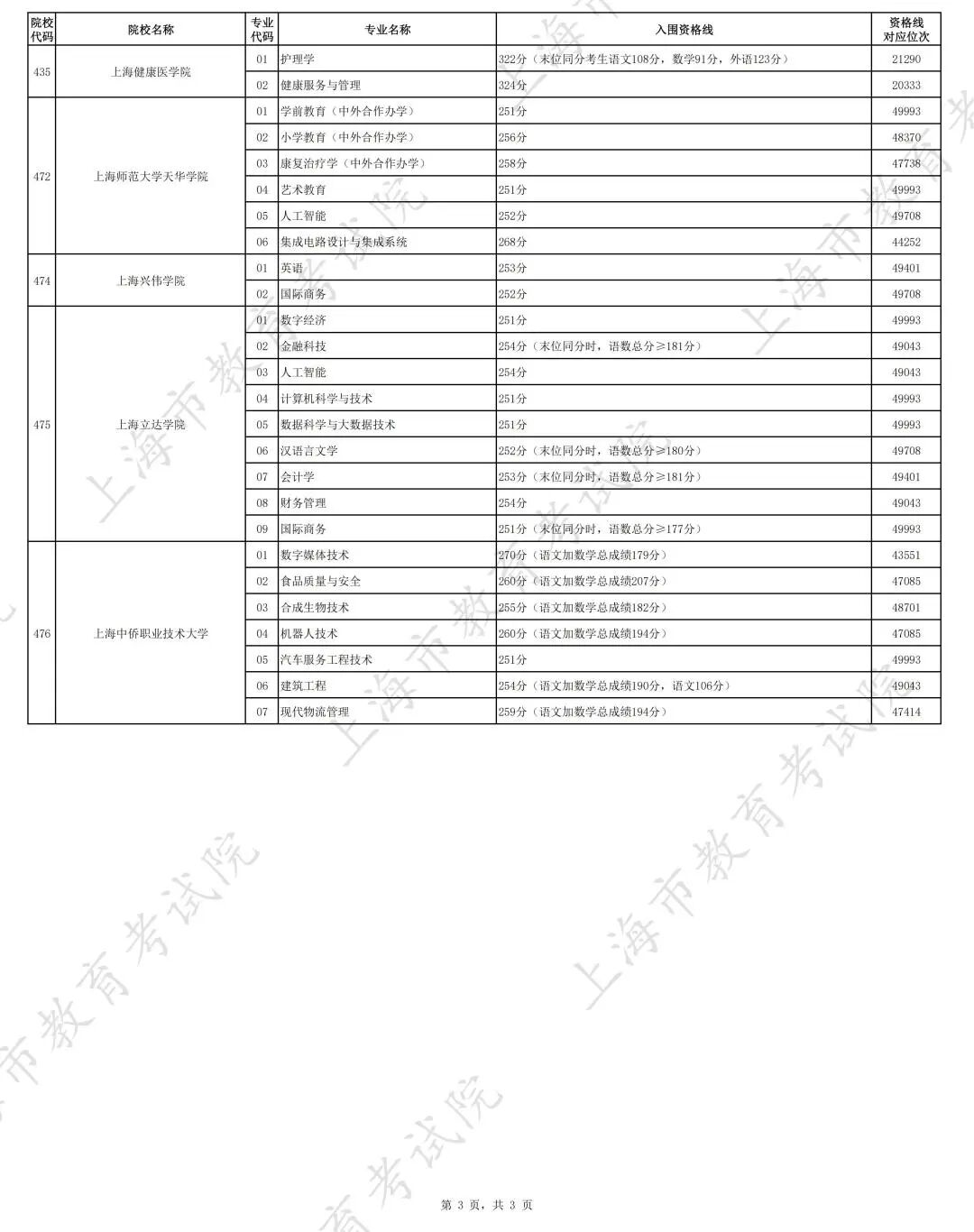
在2026年的时候,会有26所院校参与春季招生,这些院校提供了116个招生专业,这些专业均为各校的特色专业或者应用型本科试点专业,其总招生计划达到了3639人,与2025年相比较增加了100个名额,这为考生给予了更多升学机会。
今年,有部分院校增添了招生专业,其中上海大学新增了“数学与应用数学”专业,还新增了“机器人工程”专业。上海立达学院也新增了专业,新增的是“应用心理学”专业以及“广播电视编导”专业。上海中侨职业技术大学同样新增了专业,分别增添了“工程造价”专业,还有“人工智能工程技术”专业,另外新增了“食品营养与健康(中外合作办学)”专业。这些新专业体现出市场对于相关人才的需求。
志愿填报关键节点
有两场春季招生志愿填报时间,一场是2026年1月30日9:00至22:00 ,另一场是1月31日9:00至16:00。考生要登录上海市教育考试院“上海招考热线”网站,也就是www.shmeea.edu.cn ,去完成填报,必须在规定时间内操作,要是逾期了就没办法补报了。
在填报志愿以前,考生应当仔仔细细地阅读各个招生院校所制定的招生章程,去了解专业方面的要求以及综合素质评价信息的使用方式方法。尤其要留意设置了男女比例、身体条件等方面限制的专业,保证自己全面符合所有用以报考的条件,防止因为自身条件不符合这些要求而致使失却录取机会。
自主测试资格划定
春季高考依旧运用“统一文化考试加上院校自主测试”这种招生办法,志愿填报完毕之后,各个招生院校会凭借填报志愿考生的成绩以及招生计划,按照相应的比例去划定自主测试资格线,在2月5日这一天,各个学校会公布各个专业的自主测试资格线以及明确的具体测试安排。
依据市教委所制定的规定,公办院校通知那些参加自主测试的考生数量,不可以超过所公布计划数的两倍,民办院校的情况是,不可以超过计划数的三倍。这样的一项规定,一方面保证了院校具备着充足的选拔空间,另一方面又不会给考生造成过于沉重的竞争压力。
自主测试形式与准备
各异的各校自主测试之中有着形式繁复多多的测试,含括参加面试、加入技能项之测试、投身专业素质综合测试以及采取笔试与面试相互结合等多样方式。应考之人需要在事先往前查找翻看报考院校制订的招生相关章程,去知晓详尽的测试形式以及测试所涉内容,进而有目标指向性地去做好相应准备,以备无患。
那些填报同一所高校两个专业志愿的考生,需格外留意,要是两个专业的自主测试方式以及内容不一样,或许就得分别去参加两个专业的测试。考生应当认真仔细阅读相关院校的自主测试实施方案,依照要求去参加考试,防止错过测试机会。
录取规则与后续安排
具备院校自主测试资格,从而没去参加测试的考生,其自主测试成绩会按零分计入总分,并且参与后续录取排序。各个院校会依据统一文化考试成绩以及自主测试成绩,参考综合素质评价信息来择优录取,进而公布预录取和候补录取考生名单。
那些被春季招生预录取的考生,其中包含候补录取且最终被录取的人员,会被当作已经被高校录取,不管是不是跟院校确认录取了,都不可以再去参加2026年专科层次依法自主招生、秋季统一高考等别的考试。这表明选择春招录取这种情况,那就得放弃后续的升学机会。
对于今年春考分数线划定情况,你认为它是否具备合理性?你心目中打算报考哪一所院校里的哪一个专业?期望在评论区把你的观点所属与之计划所述予以分享哩,可否点赞转发从而让更多考生能够看到这些至关重要的详细信息!























